Jak pszczelarze zdobywają wiedzę? Wyniki ankiety pt. „Łączenie nauki i praktyki”
Szeroko pojęta nauka pszczelarska bardzo dynamicznie się rozwija. Dokonuje się coraz to nowych odkryć, uchwalane są akty prawne, a tym samym pojawiają się kolejne możliwości dla pszczelarzy. Nie zawsze jednak te informacje docierają do odbiorcy. Aby zacząć rozwiązywać ten problem w międzynarodowym stowarzyszeniu do spraw strat rodzin pszczelich (COLOSS) powstała grupa robocza B-RAP (z ang. Bridging Research and Practice), czyli „Łączenie nauki i praktyki”. W ramach tej grupy na całym świecie przeprowadzono badanie ankietowe na temat sposobów zdobywania wiedzy przez pszczelarzy, abyśmy mogli dostrzec luki i skutecznie je wypełnić, czyli naprawdę połączyć naukę z praktyką.

Logo organizacji COLOSS. Zachęcamy do odwiedzenia anglojęzycznej strony internetowej www.coloss.org
W Polsce badania te przeprowadził zespół Pracowni Chorób Owadów Użytkowych warszawskiego Instytutu Medycyny Weterynaryjnej. Dzięki zaangażowaniu pszczelarzy dowiedzieliśmy się, jakie są ich preferencje dotyczące zdobywania wiedzy i nie tylko.

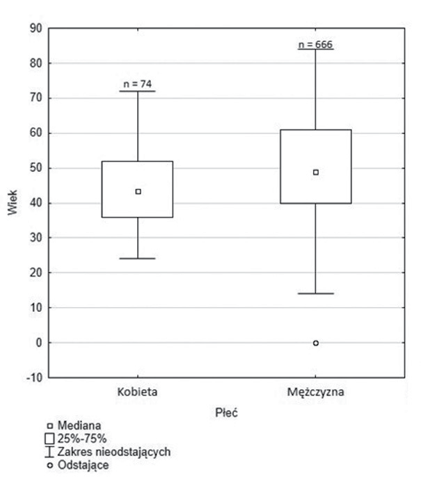
Wykres 1. Wiek a płeć pszczelarzy biorących udział w badaniu ankietowym.
Kwestionariusz został przetłumaczony na 23 języki i wypełniony przez ponad 11 tys. pszczelarzy z całego świata. W Polsce ankieta była dostępna na stronie internetowej LimeSurvey od września do grudnia 2020 r. i wypełniło ją 744 pszczelarzy. Zdecydowana większość badanych była płci męskiej (wykres 1). Średnia wieku wyniosła 49 lat. W skali światowej wyniki były bardzo podobne, kobiety stanowiły nieco ponad 22% respondentów, a średnia wieku wyniosła 52 lata. Większość badanych zadeklarowała wyższe lub średnie wykształcenie.
Dziewięćdziesiąt pięć procent ankietowanych potwierdziło, że ma stały dostęp do internetu; 66,7% badanych określiło się jako „pszczelarz hobbystyczny” (n=498); 24,5% jako „pszczelarz półzawodowy” (n=183) a 7,8% jako „pszczelarz zawodowy” (n=58). Pszczelarze zawodowi zadeklarowali, że łącznie posiadają 9 924 rodzin pszczelich (średnia wyniosła 171 rodzin na pszczelarza).
W grupie „półzawodowej” odnotowaliśmy 11 745 pni ze średnią 63,9 na osobę. Pszczelarze hobbystyczni zgłosili 11 900 rodzin, średnio 23,8 na pszczelarza. Respondenci odpowiedzieli także na pytanie: „Z jakiego powodu został(a) Pan(i) pszczelarzem?”. W grupie pszczelarzy zawodowych i półzawodowych popularna była odpowiedź „sposób na życie” (odpowiednio 52% i 37% ankietowanych). We wszystkich grupach (pszczelarze zawodowi, półzawodowi i hobbystyczni) dominowała odpowiedź „tradycja rodzinna” i „fascynacja pszczołami”.
Z pytania o wykształcenie kierunkowe wynika, że niemalże 2/3 respondentów nie ma udokumentowanej wiedzy pszczelarskiej. Trzydzieści dwa procent badanych uczy się samodzielnie a 31% u doświadczonego pszczelarza (wykres 2). W ankietach z całego świata najczęściej udzielana odpowiedź to „kurs podstawowy pszczelarski”. Sześćdziesiąt pięć procent polskich ankietowanych korzystała z pomocy doświadczonego pszczelarza w pierwszych latach posiadania pszczół.

Wykres 2. Pszczelarze odpowiedzieli na pytanie: „która z poniższych opcji najlepiej opisuje Pana(-i) edukację pszczelarską?”.
W ankiecie pytaliśmy także o to: „które czynniki najlepiej poprawiłyby sytuację zdrowotną pańskich pszczół?”. Na pierwszym miejscu uplasowała się odpowiedź „dobra praktyka rolnicza”, tzn. sianie poplonów, mniejsze zużycie środków ochrony roślin czy zakładanie łąk kwietnych. Na drugim miejscu uplasował się czynnik pogodowy, tzn. „bardziej sprzyjająca pogoda”.
Dopiero na trzecim miejscu pszczelarze wybrali „pogłębienie wiedzy pszczelarskiej”. Mimo takiego obrazu sytuacji, najczęściej wyszukiwanymi tematami przez pszczelarzy w 2020 r. były „zwalczanie pasożyta Varroa destructor” i „zdrowie pszczół”, więc można wnioskować, że respondenci nie mają jednak wystarczającej wiedzy na te tematy.

Wykres 3. Najpopularniejsze źródła wiedzy na temat pszczelarstwa z danych ankiety B-RAP.
Jaki sposób zdobywania informacji na temat pszczelarstwa wybrał(aby) Pan(i)

Wykres 4. Książki i prasa o tematyce pszczelarskiej są preferowanymi źródłami wiedzy wśród ankietowanych.
W jakiego typu wydarzeniach pszczelarskich Pan(i) uczestniczy?

Wykres 5. Niewielki odsetek pszczelarzy uczestniczy w wydarzeniach międzynarodowych.
Na pytanie o to, jak pszczelarze zdobywają wiedzę, pierwsze miejsce w kategorii „zawsze” zajęły książki pszczelarskie. Na kolejnych miejscach uplasowały się prasa pszczelarska i koła pszczelarskie. Nieco zaskakuje popularność internetu – okazało się, że tylko 108 badanych sięga po niego zawsze, a 352 badanych często w celu zdobycia informacji (wykres 3).
Interesujące jest to, że odpowiedzi u osób przed i po 40 roku życia były takie same. Najpopularniejszymi mediami społecznościowymi okazał się Facebook i YouTube. Respondenci zadeklarowali dość częste czerpanie z tych źródeł wiedzy, ale nie darzą ich zaufaniem. Jeżeli pszczelarz mógłby wybrać źródło informacji na temat pszczelarstwa, to oprócz książek i prasy skorzystałby z kontaktów z ludźmi z branży – innymi pszczelarzami, ale także naukowcami i lekarzami weterynarii.
Niestety z ankiety B-RAP wynika, że 29% respondentów nie zna naukowca, który zajmuje się zagadnieniami związanymi z pszczołami, a 33% nie zna lekarza weterynarii (ani zakładu leczniczego dla zwierząt) specjalizującego się w chorobach pszczół. Mimo to, zaufanie do naukowców jest porównywalne z zaufaniem do mentora czy specjalistycznych książek. Zaufanie do lekarzy weterynarii jest niestety na niskim poziomie, prawie połowa badanych (47%) odpowiedziała, że „nie ma zaufania” lub „raczej nie ufa” tej grupie zawodowej.
Osiemdziesiąt pięć procent ankietowanych zadeklarowało członkostwo w organizacji pszczelarskiej. Budujące jest to, że mimo wysokiej średniej wieku prawie 2/3 respondentów uczestniczy w różnego typu wydarzeniach pszczelarskich (wykres 5). Wyniki ankiety „Łączenie nauki i praktyki” dostarczyły nam wielu cennych informacji.
Dziękujemy wszystkim pszczelarzom, którzy poświęcili swój czas i wzięli w niej udział. Mamy nadzieję, że te konkretne dane przysłużą się do polepszenia kontaktu między światem nauki a pszczelarzami. Jednocześnie zachęcamy do stałego pogłębiania swojej wiedzy w dziedzinie pszczelarstwa i bezpośredniego kontaktu z naukowcami czy lekarzami weterynarii.
Lek. wet. specjalista Ewa Mazur
Pracownia Chorób Owadów Użytkowych, IMW, SGGW
*ewa_
Dr n. wet. Anna Gajda
Pracownia Chorób Owadów Użytkowych, IMW, SGGW
<?php include("./goto/art_footer.php"); ?>